基本信息:
中文名稱 6-溴-2-苯并噻唑啉酮
中文別名 2(3H)-6-溴苯并噻唑酮;6-溴-2(3h)-苯并噻唑酮;
英文名稱 6-Bromo-2-benzothiazolinone
英文別名 6-bromo-3H-1,3-benzothiazol-2-one;
CAS號 62266-82-4
合成路線:
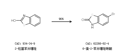
1.通過2-羥基苯并噻唑合成6-溴-2-苯并噻唑啉酮,收率約96%;

2.通過4 -溴- 2 - 碘苯甲胺和N,N-二甲基甲酰胺合成6-溴-2-苯并噻唑啉酮,收率約52%;

合成路線僅供參考