基本信息:
中文名稱 2,4-二氟異硫氰酸苯酯
中文別名 異硫氰酸2,4-二氟苯酯;2,4-二氟苯異硫氰酸酯;2,4-二氟苯基異硫氰酸酯;
英文名稱 2,4-Difluorophenyl Isothiocyanate
英文別名 2,4-difluoro-1-isothiocyanatobenzene;2,4-Difluorophenyl isothiocyanate;Isothiocyanic Acid 2,4-Difluorophenyl Ester;
CAS號 141106-52-7
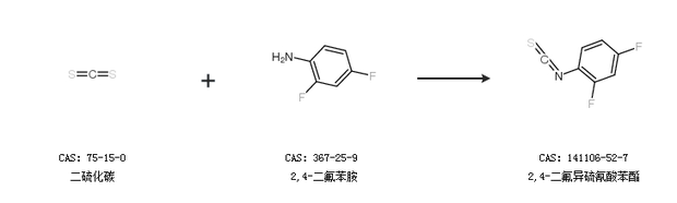
合成路線:
1.通過2,4-二氟苯胺合成2,4-二氟異硫氰酸苯酯

2.通過二硫化碳和2,4-二氟苯胺合成2,4-二氟異硫氰酸苯酯

合成路線僅供參考