基本信息:
中文名稱 5-氮雜吲哚
中文別名 1H-吡咯并[3,2-C]吡啶;1H-吡咯并[3,2-c]吡啶;1H-吡咯并[3,2-c]吡啶;5-雜氮吲哚;
英文名稱 1H-pyrrolo[3,2-c]pyridine
英文別名 5-azaindole;HARMYRINE;pyrrolo<3,2-c>pyridine;1,6-DIAZAINDENE;1,5-DIAZAINDENE;3,7-DIDEAZAPURINE;1H-Pyrrolo[3,2-c]pyridine;5-Aza-1H-indole;
CAS號 271-34-1
合成路線:
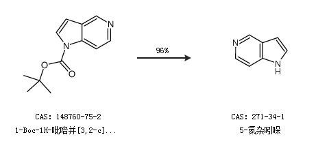
1.通過1-Boc-1H-吡咯并[3,2-c]吡啶合成5-氮雜吲哚,收率約96%;

2.通過3-甲基-4-硝基吡啶-N-氧化物和N,N-二甲基甲酰胺二乙基縮醛合成5-氮雜吲哚

合成路線僅供參考