基本信息:
中文名稱 乙基苯基砜
中文別名 苯磺醯乙烷;苯基乙基砜;
英文名稱 Ethyl phenyl sulfone
英文別名 phenylsulfonylethane;Phenyl ethyl sulfone;1-ethylsulfonylbenzene;ETHYLSULFONYLBENZENE;ETHYL PHENYL SULPHONE;Sulfone,ethyl phenyl;
CAS號(hào) 599-70-2
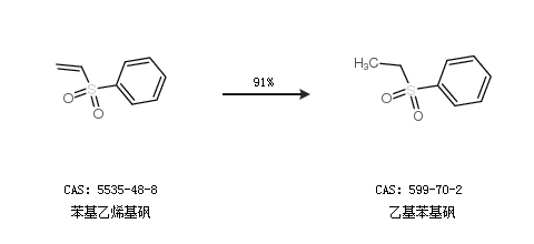
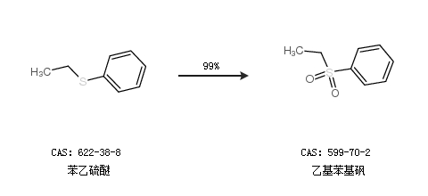
合成路線:
1.通過(guò)苯基乙烯基砜合成乙基苯基砜,收率約91%;

2.通過(guò)苯乙硫醚合成乙基苯基砜,收率約99%;

合成路線僅供參考