基本信息:
中文名稱 四己基溴化銨
中文別名 四正己基溴化銨;
英文名稱 TETRA-N-HEXYLAMMONIUM BROMIDE
英文別名 TETRAHEXYLAMMONIUM BROMIDE,FOR IPC;n,n,n-trihexyl-1-hexanaminiubromide;TetrahexylaMMoniuM BroMide;TETRAHEXYLAMMONIUM BROMIDE;Tatrehexylammonium Bromide;N,N,N-trihexyl-1-hexanaminiumbromide;
CAS號(hào) 4328-13-6
合成路線:
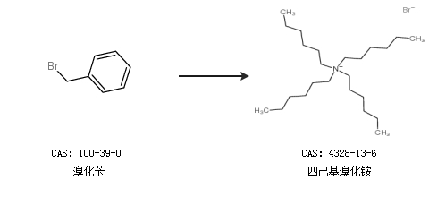
1.通過(guò)溴化芐合成四己基溴化銨

合成路線僅供參考