基本信息:
中文名稱 3,7-二氫-3-甲基-1H-嘌呤-2,6-二酮
中文別名 2,6-二羥基-3-甲基嘌呤;3-甲基黃嘌呤;
英文名稱 3-methyl-7H-xanthine
英文別名 3-METHYL XANTHINE;3-Methyl-1H-purine-2,6(3H,7H)-dione;3-METHYL-2,3,6,9-TETRAHYDRO-1H-PURINE-2,6-DIONE;3,7-DIHYDRO-3-METHYL-1H-PURINE-2,6-DIONE;3-methyl-7H-purine-2,6-dione;2,6-Dihydroxy-3-methylpurine;3,7-dihydro-3-methyl-1h-purine-6-dione;1H-PURINE-2,6-DIONE,3,9-DIHYDRO-3-METHYL-;3-Methylxanthine;
CAS號 1076-22-8
合成路線:
1.通過甲酸和5,6-二氨基-1-甲基尿嘧啶合成3,7-二氫-3-甲基-1H-嘌呤-2,6-二酮,收率約78%;

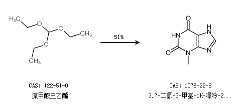
2.通過原甲酸三乙酯合成3,7-二氫-3-甲基-1H-嘌呤-2,6-二酮,收率約51%;

中華試劑網(wǎng)提醒:合成路線僅供參考