基本信息:
中文名稱 3-氯丙基三甲氧基硅烷
中文別名 (3-氯丙基)三甲氧基硅烷;3-氯丙基三甲氧硅烷;氯丙基三甲氧基硅烷;γ-氯丙基三甲氧基硅烷;
英文名稱 3-chloropropyl(trimethoxy)silane
英文別名 3-Trimethoxysilylpropyl Chloride;Sila-Ace S 620;(3-Chloropropyl)trimethoxysilan;trismethoxysilyl-3-chloropropane;3-trimethoxysilylpropylchloride;3-Chloropropyltrimethyoxysilane;A 143;(3-Chloropropyl)Trimethoxysilane;CPS-M;3-chloro-n-propyl-trimethoxysilane;
CAS號 2530-87-2
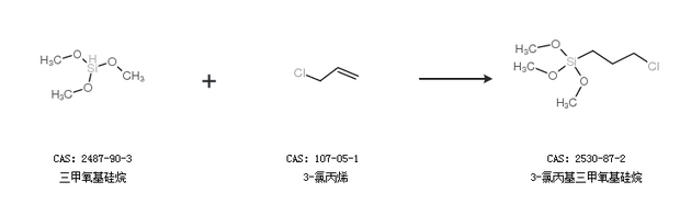
合成路線:
1.通過3-氯丙烯合成3-氯丙基三甲氧基硅烷

2.通過三甲氧基硅烷和3-氯丙烯合成3-氯丙基三甲氧基硅烷

合成路線僅供參考