基本信息:
中文名稱 四溴雙酚 A
中文別名 四溴雙酚A;4,4''-異亞丙基雙(2,6-二溴苯酚);3,3'',5,5''-四溴雙酚A;2,2-二(2,6-二溴-4-羥基苯基)丙烷;4,4''-(1-甲基亞乙基)雙(2,6-二溴)苯酚;2,2'',6,6''-四溴雙酚A;
英文名稱 3,3'',5,5''-tetrabromobisphenol A
英文別名 ba59;SAYTEX RB-100;FR-1524;tetrabromobisphenol-A;TBBA;saytexrb100pc;4,4''-Isopropylidenebis(2,6-dibromophenol);Tetrabromobisphenol A;fireguard2000;FG 2000;Bromdian;
CAS號 79-94-7
合成路線:
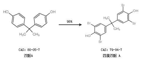
1.通過雙酚A合成四溴雙酚 A,收率約98%;

合成路線僅供參考