基本信息:
中文名稱 1,3,5-三(9-咔唑基)苯
中文別名 TCP 1,3,5-三(咔唑-9-)苯;1,3,5-三(9h-咔唑-9-基)苯;1,3,5-三(9H-咔唑-9-基)苯;1,3,5-三(9H-咔唑-9-基)苯;1,3,5-三(咔唑-9-)苯/TCP;
英文名稱 1,3,5-Tri(9<i>H</i>-carbazol-9-yl)benzene
英文別名 1,3,5-Tris(N-carbazolyl)benzene;1,3,5-Tris(9-carbazolyl)benzene;1,3,5-Tri(9H-carbazol-9-yl)benzene;1,3,5-Tris(carbazol-9-yl)benzene TCB tCP;9-[3,5-di(carbazol-9-yl)phenyl]carbazole;
CAS號 148044-07-9
合成路線:
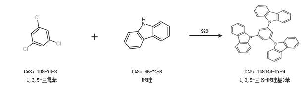
1.通過1,3,5-三氯苯和咔唑合成1,3,5-三(9-咔唑基)苯,收率約92%;

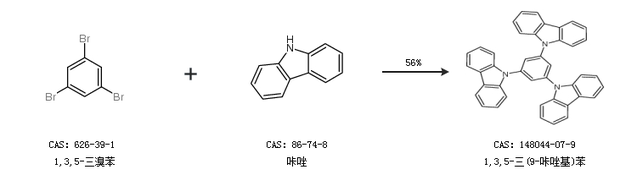
2.通過1,3,5-三溴苯和咔唑合成1,3,5-三(9-咔唑基)苯,收率約56%;

合成路線僅供參考