基本信息:
中文名稱 4-氨基-6-巰基吡唑酮[3,4-d]嘧啶
中文別名 4-氨基-6-巰基-1H-吡唑[3,4-D]嘧啶;4-氨基-6-巰基-1H-吡唑[3,4-d]嘧啶;4-氨基-6-疏基吡唑并[3,4-d]嘧啶;
英文名稱 4-amino-1,2-dihydropyrazolo[3,4-d]pyrimidine-6-thione
英文別名 4-Amino-6-mercapto-1H-pyrazolo[3,4-d]pyrimidine;4-Aminopyrazolo[3,4-d]pyrimidine-6-thiol;4-Amino-6-mercaptopyrazolo[3,4-d]pyrimidine;
CAS號 23771-52-0
合成路線:
1.通過1(2),7-二氫-吡唑并[3,4-d]嘧啶-4,6-二硫酮合成4-氨基-6-巰基吡唑酮[3,4-d]嘧啶

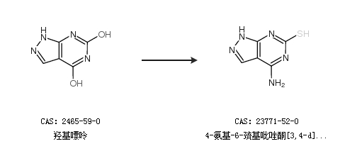
2.通過羥基嘌呤合成4-氨基-6-巰基吡唑酮[3,4-d]嘧啶

中華試劑網(wǎng)提醒:合成路線僅供參考