基本信息:
中文名稱 染料木苷
中文別名 4,5,7-三羥異黃酮-7-糖苷;染料木甙;染料木甙;4'',5,7-三羥異黃酮-7-糖苷;
英文名稱 genistein 7-O-β-D-glucoside
英文別名 GLUCOSYL-7-GENISTEIN;Soybean Extract;4'',5,7-Trihydroxyisoflavone 7-glucoside;genistein 7-O-glucoside;Genistoside;Genistein 7-glucoside;GENISTEIN-7-GLUCOSIDE;genistine;4'',5,7-trihydroxyisoflavone-7-D-glucoside;Genistein-7-O-β-D-glucopyranoside;genistein 7-O-beta-D-glucoside;Genistin;
CAS號(hào) 529-59-9
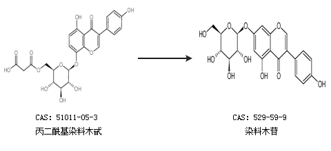
合成路線:
1.通過(guò)丙二?;玖夏具昂铣扇玖夏拒?br>

2.通過(guò)6-O-乙酰染料木苷合成染料木苷

合成路線僅供參考