基本信息:
中文名稱 2-氟-4-羥基苯腈
中文別名 3-氟-4-氰基苯酚;2-氟-4-羥基苯甲腈;3-氟-4-氰基苯酚(FCNPO);
英文名稱 2-Fluoro-4-hydroxybenzonitrile
英文別名 4-cyano-3-fluorophenol;2-fluoro-4-hydroxybenzenecarbonitrile;2-fluoro-4-benzonitrile;4-hydroxy-2-fluorobenzonitrile;3-fluoro-4-cyanophenol;BENZONITRILE,2-FLUORO-4-HYDROXY;2-fluoro-4-hydroxy-benzonitrile;
CAS號 82380-18-5
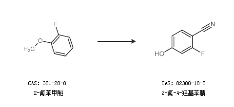
合成路線:
1.通過3-氟-4-氰基苯甲醚合成2-氟-4-羥基苯腈,收率約62%;

2.通過2-氟苯甲醚合成2-氟-4-羥基苯腈

中華試劑網(wǎng)提醒:合成路線僅供參考