基本信息:
中文名稱 埃博霉素B
中文別名 帕土匹龍;
英文名稱 epothilone B
英文別名 (1S,3S,7S,10R,11S,12S,16R)-7,11-dihydroxy-8,8,10,12,16-pentamethyl-3-[(E)-1-(2-methyl-1,3-thiazol-4-yl)prop-1-en-2-yl]-4,17-dioxabicyclo[14.1.0]heptadecane-5,9-dione;Epothilone B (EPO906,Patupilone);Epothilon B;GNF-PF-193;EpoB;Patupilone;Epothilone B;EPO906;EPO906,EpoB,Patupilone;
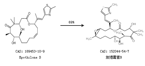
CAS號 152044-54-7
合成路線:
1.通過Epothilone D合成埃博霉素B,收率約97%;

2.通過Epothilone D合成埃博霉素B,收率約69%;

合成路線僅供參考