基本信息:
中文名稱 D-海藻糖,無水
中文別名 α-D-吡喃(型)葡糖基-α-D-吡喃葡糖苷;蕈糖;無水D-(+)-海藻糖;D-(+)-海藻糖無水;海藻糖;
英文名稱 α,α-trehalose
英文別名 alpha,alpha-trehalose;D-(+)-Trehalose Anhydrous;TREHALOSE;
CAS號 99-20-7
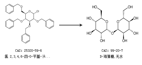
合成路線:
1.通過2,3,4,6-四鄰芐基-alpha-d-吡喃葡萄糖合成D-海藻糖,無水

2.通過氯 2,3,4,6-四-O-芐基-|á-D-吡喃葡萄糖苷合成D-海藻糖,無水

合成路線僅供參考