基本信息:
中文名稱 4,6-二氯-2-甲基嘧啶
中文別名 2-甲基-4,6-二氯嘧啶;4,6-二氯基-2-甲基嘧啶;
英文名稱 4,6-Dichloro-2-methylpyrimidine
英文別名 4,6-Dichloro-2-methyl-pyrimidine;4,6-Dimethoxy-2-methylmercapyrimidine;2-MDCP;2-methyl-4,6-dichloro-pyrimidine;4,6-dichlor-2-methylpyrimidin;
CAS號 1780-26-3
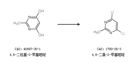
合成路線:
1.通過2-甲基-4,6-二羥基嘧啶合成4,6-二氯-2-甲基嘧啶,收率約97%;

2.通過4,6-二羥基-2-甲基嘧啶合成4,6-二氯-2-甲基嘧啶

中華試劑網(wǎng)提醒 合成路線僅供參考