基本信息:
中文名稱 4,4''-二甲基-2,2''-聯(lián)吡啶
中文別名 4,4’-二甲基-2,2’-聯(lián)吡啶;2,2''-二-4-甲基吡啶;2,2''-Bi(γ-picoline);2,2''-聯(lián)-4-甲基吡啶;
英文名稱 4,4''-Dimethyl-2,2''-bipyridyl
英文別名 4,4''-Dimethyl-2,2''-dipyridyl;2,2''-Bi-4-picoline;4-methyl-2-(4-methylpyridin-2-yl)pyridine;2,2''-Di-4-picolyl;4,4‘-Dimethyl-2,2‘-bipyridyl;4,4''-Dimethyl-2,2''-bipyridine;4,4’-Dimethyl-2,2‘-dipyridyl;
CAS號 1134-35-6
合成路線:
1.通過2-溴-4-甲基吡啶合成4,4''-二甲基-2,2''-聯(lián)吡啶,收率約78%;

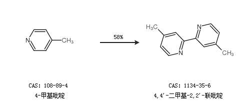
2.通過4-甲基吡啶合成4,4''-二甲基-2,2''-聯(lián)吡啶,收率約58%;

合成路線僅供參考