基本信息:
中文名稱 4,4’-偶氮二苯胺
中文別名 4,4''-偶氮二苯胺;對二氨基偶氮苯;
英文名稱 4,4''-diaminoazobenzene
英文別名 4-[(4-aminophenyl)diazenyl]aniline;4,4′-Diaminoazobenzene;4,4‘-Azodianiline;4,4-Azodianiline;
CAS號 538-41-0
合成路線:
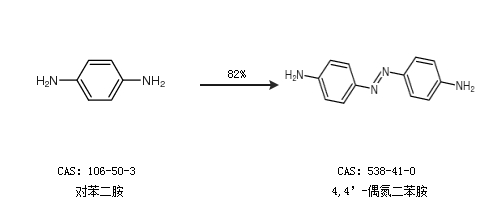
1.通過對苯二胺合成4,4’-偶氮二苯胺,收率約82%;

2.通過分散橙 3合成4,4’-偶氮二苯胺,收率約90%;

中華試劑網(wǎng)提醒 合成路線僅供參考