基本信息:
中文名稱 3,3''-二氨基聯(lián)苯胺
中文別名 3,3’-二氨基聯(lián)苯胺;3,3'',4,4''-聯(lián)苯四胺;3,3'',4,4''-四氨基聯(lián)苯;
英文名稱 3,3''-Diaminobenzidine
英文別名 4-(3,4-diaminophenyl)benzene-1,2-diamine;
CAS號 91-95-2
合成路線:
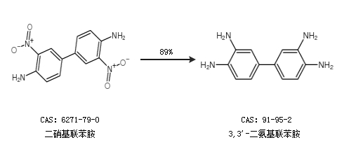
1.通過二硝基聯(lián)苯胺合成3,3''-二氨基聯(lián)苯胺,收率約89%;

2.通過N,N''-二乙酰聯(lián)苯胺合成3,3''-二氨基聯(lián)苯胺

合成路線僅供參考