基本信息:
中文名稱 2-苯乙基異氰酸酯
中文別名 (2-異氰酸基乙基)苯;2-苯基乙基異氰酸酯;β-苯乙基異氰酸酯;苯乙基異氰酸酯;異氰酸苯乙酯;異氰酸苯乙酯;苯乙基異氰酸酯;
英文名稱 2-phenylethyl isocyanate
英文別名 Phenethyl Isocyanate;Phenethylisocyanate;Isocyanic Acid Phenethyl Ester;2-Phenylethyl Isocyanate;2-phenethylisocyanate;Isocyanic Acid 2-Phenylethyl Ester;(2-Isocyanatoethyl)benzene;2-isocyanatoethylbenzene;Phenethyl isocyanate;Phenylethyl isocyanate;2-Phenylethylisocyanate;
CAS號 1943-82-4
合成路線:
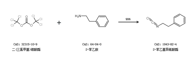
1.通過二(三氯甲基)碳酸酯和2-苯乙胺合成2-苯乙基異氰酸酯,收率約99%;

2.通過N-羥基-3-苯基丙酰胺合成2-苯乙基異氰酸酯,收率約88%;

中華試劑網(wǎng)提醒 合成路線僅供參考