基本信息:
中文名稱 5,6,7,8-四氫咪唑并[1,2-a]吡嗪-2-甲酸乙酯
中文別名 5,6,7,8-四氫咪唑[1,2-A]吡嗪-2-羧酸乙酯;
英文名稱 Ethyl 5,6,7,8-Tetrahydroimidazo[1,2-a]pyrazine-2-carboxylate
英文別名 ethyl 5,6,7,8-tetrahydroimidazo[1,2-a]pyrazine-2-carboxylate;
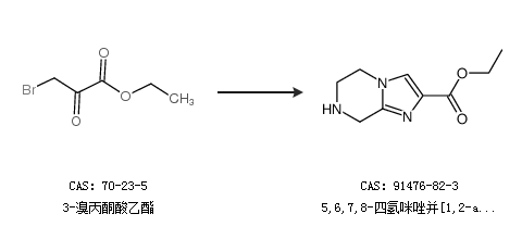
CAS號(hào) 91476-82-3
合成路線:
1.通過咪唑并[1,2-a]吡嗪-2-甲酸乙酯合成5,6,7,8-四氫咪唑并[1,2-a]吡嗪-2-甲酸乙酯,收率約94%;

2.通過3-溴丙酮酸乙酯合成5,6,7,8-四氫咪唑并[1,2-a]吡嗪-2-甲酸乙酯

中華試劑網(wǎng)提醒 合成路線僅供參考