基本信息:
中文名稱 2-二叔丁基膦-2'',4'',6''-三異丙基聯(lián)苯
中文別名 2-二-叔丁膦基-2’,4’,6’-三異丙基聯(lián)苯;2-二-叔丁膦基-2'',4'',6''-三異丙基聯(lián)苯;
英文名稱 2‘-DI-Tert-Butylphosphino-2,4,6-Triisopropylbiphenyl
英文別名 ditert-butyl-[2-[2,4,6-tri(propan-2-yl)phenyl]phenyl]phosphane;
CAS號 564483-19-8
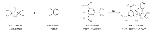
合成路線:
1.通過二叔丁基氯化膦、2-溴氯苯和1-溴-2,4,6-三異丙苯合成2-二叔丁基膦-2'',4'',6''-三異丙基聯(lián)苯,收率約31%;

合成路線僅供參考