基本信息:
中文名稱 3,3''-二苯基聯(lián)苯
中文別名 1,1'':3'',1'''':3'''',1''''''-四聯(lián)苯
英文名稱 3,3''-DIPHENYLBIPHENYL
英文別名 1,1''-Biphenyl,3,3''-diphenyl;m,m''-Quarterphenyl;m-Quarterphenyl;QUARTERPHENYL;m-Tetraphenyl;meta-quaterphenyl;5-Phenyl-1,1'':3'',1''''-terbenzene;M-QUATERPHENYL;1,1'':3'',1'''':3'''',1''''''-quaterphenyl;m,m-Quaterphenyl;<3'',3''>Quarterphenyl;
CAS號(hào) 1166-18-3
合成路線:
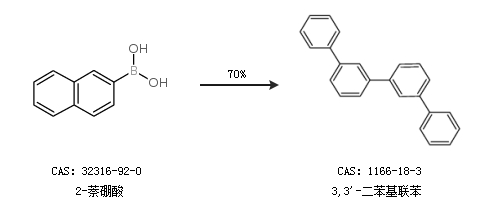
1.通過(guò)2-萘硼酸合成3,3''-二苯基聯(lián)苯,收率約70%;

2.通過(guò)3-溴聯(lián)苯和3-聯(lián)苯硼酸合成3,3''-二苯基聯(lián)苯,收率約78%;

中華試劑網(wǎng)提醒:合成路線僅供參考