基本信息:
中文名稱 雙(8-羥基-2-甲基喹啉)-(4-苯基苯氧基)鋁
中文別名 雙(2-甲基-8-羥基喹啉-N1,O8)-(1,1''-聯(lián)苯-4-羥基)鋁;雙(2-甲基-8-羥基喹啉-N1,O8)-(1,1’-聯(lián)苯-4-羥基)鋁;2-甲基-8-羥基喹啉對羥基聯(lián)苯合鋁;
英文名稱 bis[(2-methylquinolin-8-yl)oxy]-(4-phenylphenoxy)alumane
英文別名 BAlq;bis(2-methyl-8-quinolinolato)(4-phenylphenolato)aluminum (III);bis(2-methyl-8-quinolinolato)(4-phenylphenolato)aluminum;bis(2-methyl-8-quinolinolato)-4-(phenoxyphenyl) Al;aluminum(III)bis(2-methyl-8-quinolinato)(4-phenylphenolate);Bis(2-methyl-8-quinolinolato-N1,O8)-(1,1''-Biphenyl-4-olato)aluminum;Bis(8-hydroxy-2-methylquinoline)-(4-phenylphenoxy)aluminum;((1,1''-bisphenyl)-4-oleate)bis(2-methyl-quinolinolate)aluminum;O487;(1,1''-biphenyl-4-olate)bis(2-methyl-quinoline-8-olate)aluminum;
CAS號 146162-54-1
合成路線:
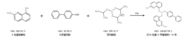
1.通過8-羥基喹哪啶、對苯基苯酚和異丙醇鋁合成雙(8-羥基-2-甲基喹啉)-(4-苯基苯氧基)鋁,收率約77%;

中華試劑網(wǎng)提醒:合成路線僅供參考