基本信息:
中文名稱 三甲基丙烷單烯丙酯
中文別名 三甲基丙烷單烯丙;2-乙基-2-[(2-乙烯基氧基)甲基]-1,3-丙二醇;2-(烯丙氧基甲基)-2-乙基-1,3-丙二醇;
英文名稱 2-ethyl-2-(prop-2-enoxymethyl)propane-1,3-diol
英文別名 2-(allyloxymethyl)-2-ethyl-1,3-propane diolbutanol;2,2-bis(hydroxymethyl)-butyl allyl ether;EINECS 211-662-7;2-ethyl-2-[(prop-2-en-1-yloxy)methyl]propane-1,3-diol;1,1,1-Trimethylolpropane monoallyl ether;Trimethylolpropane allyl ether;1-Butanol,2,2-(dihydroxymethyl)-,monoallyl ether;2-Allyloxymethyl-2-ethylpropanediol;2-(Allyloxymethyl)-2-ethyl-1,3-propanediol;Trimethylolpropane monoallyl ether;
CAS號(hào) 682-11-1
合成路線:
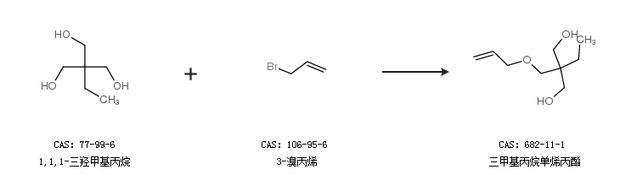
1.通過1,1,1-三羥甲基丙烷和3-溴丙烯合成三甲基丙烷單烯丙酯

中華試劑網(wǎng)提醒:合成路線僅供參考