基本信息:
中文名稱(chēng) 克林沙星
中文別名 羅非考昔;7-(3-氨基-1-吡咯烷基)-1-環(huán)丙基-6-氟-8-氯-1,4-二氫-4-氧代-3-喹啉羧酸;1-環(huán)丙基-6-氟-7-(3-氨基吡咯烷-1-基)-8-氯-1,4-二氫-4-氧-喹啉-3-羧酸;
英文名稱(chēng) 7-(3-Aminopyrrolidin-1-yl)-8-chloro-1-cyclopropyl-6-fluoro-4-oxo-1,4-dihydroquinoline-3-carboxylic acid
英文別名 Clinafloxacin;7-(3-aminopyrrolidin-1-yl)-8-chloro-1-cyclopropyl-6-fluoro-4-oxoquinoline-3-carboxylic acid;
CAS號(hào) 105956-97-6
合成路線:
1.通過(guò)三乙烯二胺、3-氨基吡咯烷和特戊醛合成克林沙星

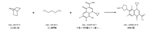
2.通過(guò)三乙烯二胺、乙二醇甲醚和8-氯-1-環(huán)丙基-6,7-二氟-1,4-二氫-4-氧代-3-喹啉羧酸合成克林沙星

中華試劑網(wǎng)提醒:合成路線僅供參考