基本信息:
中文名稱 草酸酰胺乙酯
中文別名 草酰胺酸乙酯;草氨酸乙酯;
英文名稱 ethyl 2-amino-2-oxoacetate
英文別名 ethyl carbamoylformate;Ethyl oxamate;Oxamic acid ethyl ester;Ethoxalamide;ethyl ester of oxamic acid;Oxamidic Acid Ethyl Ester;Oxamethane;Ethandisaeure-amid-ethylester;ethyl 2-aminooxamate;oxalamic acid ethyl ester;
CAS號(hào) 617-36-7
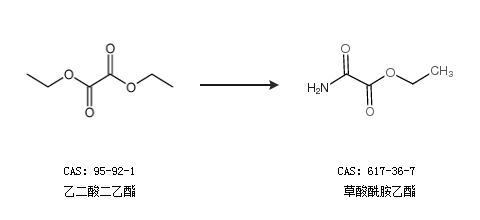
合成路線:
1.通過(guò)乙二酸二乙酯和尿素合成草酸酰胺乙酯,收率約81%;

2.通過(guò)乙二酸二乙酯合成草酸酰胺乙酯

中華試劑網(wǎng)提醒:合成路線僅供參考