基本信息:
中文名稱 草銨膦
中文別名 2-氨基-4-[羥基(甲基)膦酰基]丁酸銨;2-氨基-4-[羥基(甲基)膦?;鵠丁酸銨鹽,DL-草胺膦;草胺磷;雙丙氨磷;草丁膦;(RS)-2-氨基-4-(羥基甲基氧瞵基)丁酸銨;4-(羥基(甲基)膦?;?-DL-高丙氨酸;草銨磷,草丁磷;4-[羥基(甲基)膦酰基]-DL-高丙氨酸;
英文名稱 glufosinate-ammonium
英文別名 2-amino-4-(hydroxymethylphosphinyl)butanoic acid monoammonium salt;Glufosinate Ammonium;Glufosinate-ammonium;ammonium (2RS)-2-amino-4-(methylphosphinato)butyric acid;
CAS號 77182-82-2
合成路線:
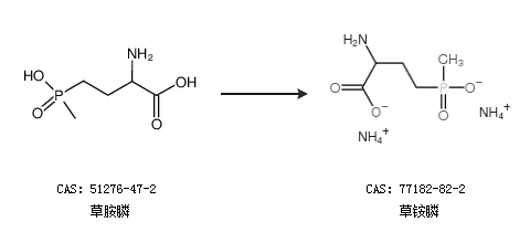
1.通過草胺膦合成草銨膦

中華試劑網(wǎng)提醒:合成路線僅供參考