基本信息:
中文名稱 N-Fmoc-8-氨基辛酸
中文別名 芴甲氧羰基-8-氨基辛酸;N-芴甲氧羰基-8-氨基辛酸;Fmoc-1-氨基環(huán)丙烷羧酸;8-(FMOC-氨基)辛酸;FMOC-4-氨基-1-羧甲基哌啶;
英文名稱 N-Fmoc-8-Aminooctanoic acid
英文別名 8-(FMOC-AMINO)CAPRYLIC ACID;Fmoc-8-aminooctanoic acid;FMOC-8-AOC-OH;FMOC-AOC(8)-OH;8-(FMOC-AMINO)OCTANOIC ACID;FMOC-8-AMINOCAPRYLIC ACID;FMOC-NH-(CH2)7-COOH;RARECHEM EM WB 0026;FMOC-AMINOCAPRYLIC ACID;Fmoc-Aoc-OH;
CAS號 126631-93-4
合成路線:
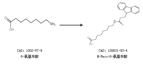
1.通過8-氨基辛酸和9-芴甲基-N-琥珀酰亞胺基碳酸酯合成N-Fmoc-8-氨基辛酸,收率約82%;

2.通過8-氨基辛酸合成N-Fmoc-8-氨基辛酸

中華試劑網(wǎng)提醒:合成路線僅供參考