基本信息:
中文名稱 L-2-氯丁二酸
中文別名 (S)-氯丁二酸;
英文名稱 (S)-2-CHLOROSUCCINIC ACID
英文別名 L-Chlorosuccinic acid;L-2-Chlorosuccinic acid;L-2-chlorosuccinic acid crystalline;
CAS號 4198-33-8
合成路線:
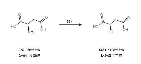
1.通過L-天門冬氨酸合成L-2-氯丁二酸,收率約84%;

2.通過L-天門冬氨酸合成L-2-氯丁二酸,收率約69%;

中華試劑網(wǎng)提醒:合成路線僅供參考