基本信息:
中文名稱 DL-A-甘油磷酸鈉
英文名稱 DL-α-GLYCEROPHOSPHATE DISODIUM SALT
英文別名 RAC-GLYCEROL 3-PHOSPHATE DISODIUM SALT HEXAHYDRATE;RAC-GLYCEROL3-PHOSPHATEDISODIUMSALT;RAC-GLYCERO-3-PHOSPHATE DISODIUM SALT HEXAHYDRATE;glycerol 3-phosphate disodium salt;dl-A-glycerophosphate disodium*hexahydrate approx;
CAS號 3325-00-6
合成路線:
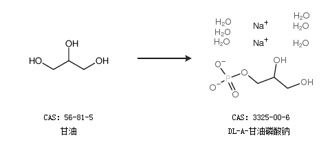
1.通過甘油合成DL-A-甘油磷酸鈉

2.通過環(huán)氧氯丙烷合成DL-A-甘油磷酸鈉

中華試劑網(wǎng)提醒:合成路線僅供參考