基本信息:
中文名稱 8-氧代-8-(苯基氨基)辛酸甲酯
中文別名 7-苯基氨基甲酰庚酸甲酯;
英文名稱 methyl 8-anilino-8-oxooctanoate
英文別名 suberanilic acid monomethyl ester;suberoylanilide methyl ester;Methylsuberanilate;7-phenylcarbamoyl heptanoic acid methyl ester;suberanilic acid methyl ester;methyl suberoylanilide;
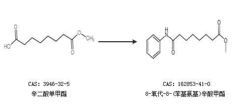
CAS號 162853-41-0
合成路線:
1.通過辛二酸單甲酯合成8-氧代-8-(苯基氨基)辛酸甲酯

中華試劑網(wǎng)提醒:合成路線僅供參考