基本信息:
中文名稱 6-氯-2,3-二甲基喹喔啉
英文名稱 6-CHLORO-2,3-DIMETHYLQUINOXALINE
英文別名 CCG-3;6-Chlor-2,3-dimethyl-chinoxalin;2,3-Dimethyl-6-chloroquinoxaline;6-chloro-2,3-dimethyl-quinoxaline;
CAS號 17911-93-2
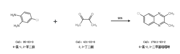
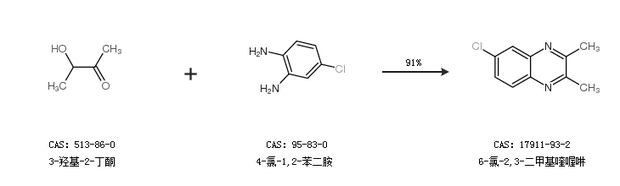
合成路線:
1.通過4-氯-1,2-苯二胺和2,3-丁二酮合成6-氯-2,3-二甲基喹喔啉,收率約98%;

2.通過3-羥基-2-丁酮和4-氯-1,2-苯二胺合成6-氯-2,3-二甲基喹喔啉,收率約91%;

中華試劑網(wǎng)提醒:合成路線僅供參考