基本信息:
中文名稱 6-氯-1H-吡咯并[2,3-b]吡啶-2-甲酸
英文名稱 6-Chloro-1H-pyrrolo[2,3-b]pyridine-2-carboxylic acid
英文別名 6-chloro-1H-pyrrolo[2,3-b]pyridine-2-carboxylic acid;
CAS號 800402-07-7
合成路線:
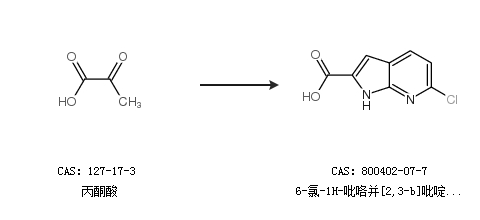
1.通過丙酮酸合成6-氯-1H-吡咯并[2,3-b]吡啶-2-甲酸

2.通過N-(6-氯吡啶-2-基)-2,2-二甲基丙酰胺合成6-氯-1H-吡咯并[2,3-b]吡啶-2-甲酸

中華試劑網(wǎng)提醒:合成路線僅供參考