基本信息:
中文名稱 6,7-二氯-1,4-二羥基蒽醌
英文名稱 6,7-dichloro-1,4-dihydroxyanthracene-9,10-dione
英文別名 6,7-Dichloroquinizarin;6,7-Dichlor-chinizarin;6,7-Dichloro-1,4-dihydroxyanthraquinone;6,7-dichloro-1,4-dihydroxy-9,10-anthraquinone;6,7-Dichlor-1,4-dihydroxy-anthrachinon;EINECS 214-954-2;
CAS號 1225-15-6
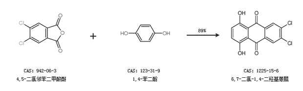
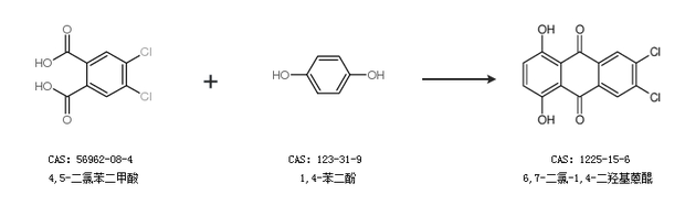
合成路線:
1.通過4,5-二氯鄰苯二甲酸酐和1,4-苯二酚合成6,7-二氯-1,4-二羥基蒽醌,收率約89%;

2.通過4,5-二氯苯二甲酸和1,4-苯二酚合成6,7-二氯-1,4-二羥基蒽醌

中華試劑網(wǎng)提醒:合成路線僅供參考