基本信息:
中文名稱 6,7,8-三氟-1,4-二氫-4-氧代-3-喹啉羧酸乙酯
中文別名 6,7,8-三氟-1,4-二氫-4-氧代喹啉-3-甲酸乙酯;3-乙氧基羰基-6,7,8-三氟-1,4-氫-4-氧喹啉;
英文名稱 ethyl 6,7,8-trifluoro-4-oxo-1H-quinoline-3-carboxylate
英文別名 6,7,8-Triacetoxy-cumarin;6,7,8-trifluoro-4-quinolone-3-carboxylic acid ethyl ester;2H-1-Benzopyran-2-one,6,7,8-tris(acetyloxy);ethyl 6,7,8-trifluoro-1,4-dihydro-4-oxoquinoline-3-carboxylate;ethyl 6,7,8-trifluoro-1,4-dihydro-4-oxo-3-quinolinecarboxylate;6,7,8-triacetoxy-coumarin;ethyl 6,7,8-trifluoro-4-oxo-1,4-dihydroquinoline-3-carboxylate;6,7,8-trifluoro-1,4-dihydro-4-oxo-3-quinoline carboxylic acid ethyl ester;
CAS號(hào) 79660-46-1
合成路線:
1.通過2,3,4-三氟苯胺合成6,7,8-三氟-1,4-二氫-4-氧代-3-喹啉羧酸乙酯

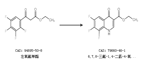
2.通過左氧氟單酯合成6,7,8-三氟-1,4-二氫-4-氧代-3-喹啉羧酸乙酯

中華試劑網(wǎng)提醒:合成路線僅供參考