基本信息:
中文名稱 5-溴-4,6-二甲基煙酸
英文名稱 5-bromo-4,6-dimethylpyridine-3-carboxylic acid
英文別名 5-Bromo-4,6-dimethyl-nicotinic acid;
CAS號 93350-01-7
合成路線:
1.通過5-溴-3-氰基-2-羥基-4,6-二甲基吡啶合成5-溴-4,6-二甲基煙酸

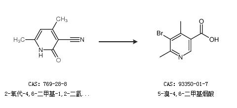
2.通過2-氧代-4,6-二甲基-1,2-二氫吡啶-3-甲腈合成5-溴-4,6-二甲基煙酸

中華試劑網(wǎng)提醒:合成路線僅供參考