基本信息:
中文名稱 5-硝基呋喃-2-甲酰肼
英文名稱 5-nitrofuran-2-carbohydrazide
英文別名 5-nitro-2-furancarbohydrazide;2-Furancarboxylic acid,5-nitro-,hydrazide;5-nitrofurane-2-carboxylic acid hydrazide;5-Nitro-furan-2-carbonsaeure-hydrazid;5-nitro-furan-2-carboxylic acid hydrazide;5-nitro-furoyl-hydrazide;
CAS號 5469-78-3
合成路線:
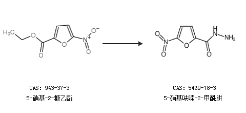
1.通過5-硝基-2-糠乙酯合成5-硝基呋喃-2-甲酰肼

2.通過5-硝基-2-糠酸甲酯合成5-硝基呋喃-2-甲酰肼,收率約25%;

中華試劑網(wǎng)提醒:合成路線僅供參考