基本信息:
中文名稱(chēng) 5-氯戊酸
中文別名 5-氯正戊酸;
英文名稱(chēng) 5-chloropentanoic acid
英文別名 5-Chlorovaleric Acid;5-Chloropentanoic Acid;5-Chlorovaleric acid;
CAS號(hào) 1119-46-6
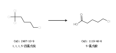
合成路線:
1.通過(guò)5-氯-1-戊醇合成5-氯戊酸,收率約90%;

2.通過(guò)1,1,1,5-四氯戊烷合成5-氯戊酸

中華試劑網(wǎng)提醒:合成路線僅供參考