基本信息:
中文名稱 4-氯-2,6-二硝基苯酚
英文名稱 4-CHLORO-2,6-DINITROPHENOL
英文別名 Phenol,4-chloro-2,6-dinitro;2,6-Dinitro-4-chlorophenol;4-Chlor-2.6-dinitro-1-hydroxy-benzol;4-chloro-2,6-dinitophenol;4-chloro-2,6-dinitro-phenol;4-Chlor-2,6-dinitro-phenol;
CAS號(hào) 88-87-9
合成路線:
1.通過4-氯苯酚合成4-氯-2,6-二硝基苯酚,收率約99%;

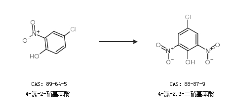
2.通過4-氯-2-硝基苯酚合成4-氯-2,6-二硝基苯酚

中華試劑網(wǎng)提醒:合成路線僅供參考