基本信息:
中文名稱(chēng) 4-N-Boc-4-N-芐基-哌啶
中文別名 芐基(哌啶-4-基)氨基甲酸叔丁酯;
英文名稱(chēng) tert-butyl N-benzyl-N-piperidin-4-ylcarbamate
英文別名 7-benzyl-3-methyl-5-oxa-1,7-diaza-bicyclo[6.2.2]dodecan-6-one;tert-Butyl N-benzyl-N-(piperidin-4-yl)carbamate;
CAS號(hào) 934695-78-0
合成路線:
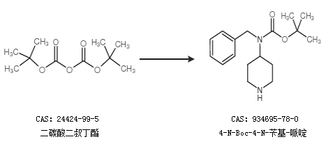
1.通過(guò)二碳酸二叔丁酯合成4-N-Boc-4-N-芐基-哌啶

2.通過(guò)4-氨基-1-哌啶甲酸乙酯合成4-N-Boc-4-N-芐基-哌啶

中華試劑網(wǎng)提醒:合成路線僅供參考