基本信息:
中文名稱 4,5-二氯-2-硝基苯酚
中文別名 2-硝基-4,5二氯苯酚;
英文名稱 4,5-Dichloro-2-nitrophenol
英文別名 Phenol,4,5-dichloro-2-nitro;4,5-Dichlor-2-nitro-phenol;2-nitro-4,5-dichlorophenol;5-Dichloro-2-nitrophenol;4,5-dichloro-2-nitro-phenol;3,4-dichloro-6-nitrophenol;4,5-Dichloro-2-hydroxynitrobenzene;
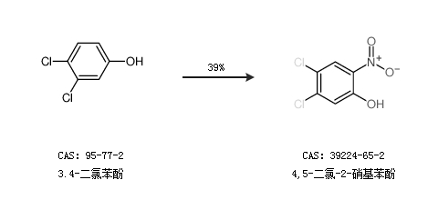
CAS號 39224-65-2
合成路線:
1.通過3.4-二氯苯酚合成4,5-二氯-2-硝基苯酚,收率約39%;

2.通過1,2-二氯-4-硝基苯合成4,5-二氯-2-硝基苯酚,收率約11%;

中華試劑網(wǎng)提醒:合成路線僅供參考