基本信息:
中文名稱 4,4-二甲基-2-氧戊酸
英文名稱 4,4-dimethyl-2-oxopentanoic acid
英文別名 4,4-dimethyl-2-oxo-pentanoic Acid;Pentanoic acid,4,4-dimethyl-2-oxo;2-oxo-4,4-dimethylpentanoic acid;Neopentylglyoxylicacid;Neopentylglyoxylsaeure;4,4-dimethyl-2-oxovaleric acid;
CAS號 34906-87-1
合成路線:
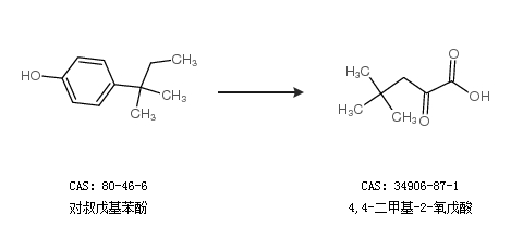
1.通過對叔戊基苯酚合成4,4-二甲基-2-氧戊酸

2.通過4,4-二甲基-2-戊酮合成4,4-二甲基-2-氧戊酸

中華試劑網(wǎng)提醒:合成路線僅供參考