基本信息:
中文名稱 4-(4-硝基苯基)芐醇
英文名稱 [4-(4-nitrophenyl)phenyl]methanol
英文別名 4-(4-Nitrophenyl)benzyl alcohol;4''-Nitro-[1,1''-biphenyl]-4-methanol;(4''-nitro[1,1''-biphenyl]-4-yl)methanol;
CAS號 62037-99-4
合成路線:
1.通過聯(lián)苯-4-羧酸甲酯合成4-(4-硝基苯基)芐醇

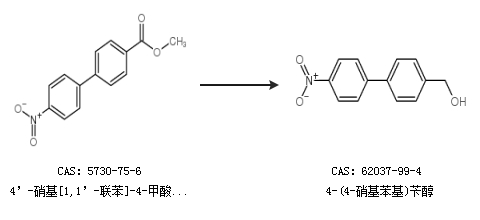
2.通過4’-硝基[1,1’-聯(lián)苯]-4-甲酸甲酯合成4-(4-硝基苯基)芐醇

中華試劑網(wǎng)提醒:合成路線僅供參考