基本信息:
中文名稱 3,5-二氯-1,2-二氨基苯
中文別名 3,5-二氯-1,2-亞苯基二胺;(2-氨基-3,5-二氯苯)胺;
英文名稱 CHEMBRDG-BB 5366312
英文別名 3,5-Dichloro-1,2-diaMinobenzene;3,5-Dichloro-1,2-phenylene-diaMine;
CAS號 5233-04-5
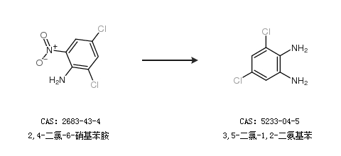
合成路線:
1.通過2,4-二氯-6-硝基苯胺合成3,5-二氯-1,2-二氨基苯,收率約93%;

2.通過2,4-二氯-6-硝基苯胺合成3,5-二氯-1,2-二氨基苯

中華試劑網(wǎng)提醒:合成路線僅供參考