基本信息:
中文名稱 3,5-二甲基吡唑-1-羧胺
英文名稱 3,5-dimethylpyrazole-1-carboximidamide
英文別名 1-carboxamidine-3,5-dymethylpyrazole;1-carboxamidino-3,5-dimethylpyrazole;3,5-dimethyl-1-pyrazolecarboximidamide;3,5-Dimethylpyrazole-1-carboxamidine;1-amidino-3,5-dimethylpyrazole;1-guanyl-3,5-dimethylpyrazole;3,5-Dimethyl-1H-pyrazole-1-carboximidamide;1-aminomethylimino-3,5-dimethylpyrazole;
CAS號(hào) 22906-75-8
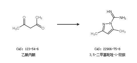
合成路線:
1.通過(guò)乙酰丙酮合成3,5-二甲基吡唑-1-羧胺

2.通過(guò)乙酰丙酮和1-氨基-3-硝基胍合成3,5-二甲基吡唑-1-羧胺

中華試劑網(wǎng)提醒:合成路線僅供參考