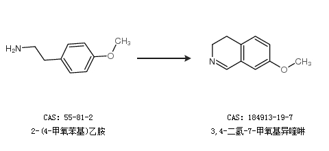
基本信息:
中文名稱 3,4-二氫-7-甲氧基異喹啉
英文名稱 Isoquinoline, 3,4-dihydro-7-methoxy-
英文別名 7-methoxy-3,4-dihydrophenanthren-1(2h)-one;7-methoxy-3,4-dihydroisoquinoline;3,4-dihydro-7-methoxyisoquinoline;
CAS號 184913-19-7
合成路線:
1.通過2-(4-甲氧苯基)乙胺合成3,4-二氫-7-甲氧基異喹啉

中華試劑網(wǎng)提醒:合成路線僅供參考