基本信息:
中文名稱 2-羥基-6,7-二甲基喹喔啉
中文別名 6,7-二甲基-2-羥基喹喔啉;
英文名稱 6,7-dimethyl-1H-quinoxalin-2-one
英文別名 6,7-dimethyl-2-oxo-1,2-dihydroquinoxaline;6,7-dimethylquinoxalin-2-one;6,7-dimethylquinoxaline-2-one;6,7-dimethylquinoxalin-2-ol;2-Hydroxy-6,7-dimethylquinoxaline;
CAS號(hào) 28082-82-8
合成路線:
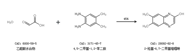
1.通過(guò)乙醛酸水合物和4,5-二甲基-1,2-苯二胺合成2-羥基-6,7-二甲基喹喔啉,收率約45%;

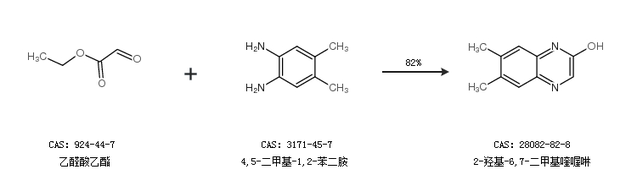
2.通過(guò)乙醛酸乙酯和4,5-二甲基-1,2-苯二胺合成2-羥基-6,7-二甲基喹喔啉,收率約82%;

中華試劑網(wǎng)提醒:合成路線僅供參考