基本信息:
中文名稱 2-氯-3-苯基喹啉
英文名稱 2-CHLORO-3-PHENYLQUINOLINE
英文別名 QU083;2-chloro-3-phenyl-quinoline;2-Chlor-3-phenyl-chinolin;
CAS號 2859-30-5
合成路線:
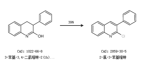
1.通過3-苯基-3,4-二氫喹啉-2(1h)-酮合成2-氯-3-苯基喹啉,收率約39%;

2.通過2-苯基乙酰苯胺和N,N-二甲基甲酰胺合成2-氯-3-苯基喹啉,收率約42%;

中華試劑網(wǎng)提醒:合成路線僅供參考