基本信息:
中文名稱 2-甲基-6-異丙苯胺
中文別名 2-甲基-6-異丙基苯胺;
英文名稱 2-methyl-6-propan-2-ylaniline
英文別名 6-Isopropyl-o-toluidine;2-methyl-6-isopropylaniline;2-methyl-6-isopropylphenylamine;2-Amino-3-methylcumene;2-isopropyl-6-methyl-aniline;2-methyl-6-i-propylaniline;
CAS號 5266-85-3
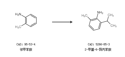
合成路線:
1.通過鄰甲苯胺合成2-甲基-6-異丙苯胺

中華試劑網(wǎng)提醒:合成路線僅供參考