基本信息:
中文名稱 2,7-二甲基-1H-吲哚
英文名稱 2,7-dimethyl-1H-indole
英文別名 Indole,7-dimethyl;Indole,2,7-dimethyl;2,7-Dimethyl 1H-indole;1H-Indole,7-dimethyl;2,7-DIMETHYLINDOLE;2,7-Dimethyl-indol;
CAS號 5621-13-6
合成路線:
1.通過2'',6''-二甲基乙酰苯胺合成2,7-二甲基-1H-吲哚,收率約56%;

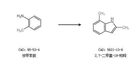
2.通過鄰甲苯胺合成2,7-二甲基-1H-吲哚

中華試劑網(wǎng)提醒:合成路線僅供參考